Year 12
Quadratic Polynomial
Sum & Product of Roots
Practice
Solving Equations by Factoring
Practice
Solving Equations Using the Quadratic Formula
Practice
Completing the Square
Practice
Solving Reducible Equations
Practice
Graphing Quadratic Functions
Practice
Finding the Quadratic Equation from the Graph
Practice
Quadratics Word Problems
Practice
Quadratic Inequalities
Practice
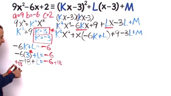
Quadratic Identities
Practice
Graphing Quadratics Using the Discriminant
Practice
Positive and Negative Definite
Practice
Applications of the Discriminant
Practice
Jump To
- Sum & Product of Roots
- Solving Equations by Factoring
- Solving Equations Using the Quadratic Formula
- Completing the Square
- Solving Reducible Equations
- Graphing Quadratic Functions
- Finding the Quadratic Equation from the Graph
- Quadratics Word Problems
- Quadratic Inequalities
- Quadratic Identities
- Graphing Quadratics Using the Discriminant
- Positive and Negative Definite
- Applications of the Discriminant








































































































